全自动原子力量测方案

InSight 300

一流的自动化原子力显微镜,为精确的三维在线量测而生

InSight 300

InSight 300 是专为晶圆厂设计的自动化原子力显微镜(AAFM),以其卓越的精确度、高效处理能力和可靠性,成为大规模半导体生产的理想选择。凭借<±1 nm 的扫描平整度(Scanner flatness)及行业领先的<35 pm底噪声,此系统能够完美应对先进制程中化学机械抛光(CMP)和蚀刻工艺的需求,涵盖从粗糙度分析到裸片全自动缺陷复检(Automated defect review)的全过程。此外,其强大的轮廓剖析能力(Profiling)不仅超越了毫米级测量范围,还能实现边缘倒角(Bevel-edge)的量测,为前沿的混合键合技术做铺垫。InSight 300还配备了侧壁粗糙度测量(Sidewall Roughness),和侧壁形貌分析等布鲁克专有模式。作为原子力领域的全方案供应商,布鲁克凭借其深厚的技术积淀,将InSight 300 打造成了最具性价比的解决方案,助力您的生产线迈向新高度。

行业顶尖的
精度和稳定性
高性能探针扫描头(Scanner)与布鲁克超平的长程轮廓仪(Profiler)相结合,可在各个尺度实现纳米级精度。
值得信赖
可靠性和技术储备
布鲁克有着25年以上专为晶圆厂HVM环境而打磨的技术,在各个工况下提供更佳的解决方案。
<5 分钟
轻松创建Recipe
通过专门优化过的应用模式实现易用性,确保用户在任何时候都能轻松获得准确的测量数据。
Features

用于精确在线量测的高通量AFM

InSight 300凝聚了布鲁克在AFM领域里超过25年的深厚积累,显著提升了分辨率、稳定性、多功能性及易用性。其卓越的高通量性能、准确性和可靠性,让Fab厂可以花最少的预算实现准确可信,重复性高的批量结果。

InSight 300的主要特性有:

内置专业的半导体量测方案

专业经验、卓越服务与全方位支持

作为全球半导体制造业的可靠伙伴,布鲁克的自动化原子力显微镜(AAFMs)凭借其不断创新的技术,从首个集成在200mm晶圆厂的全自动AFM到如今的InSight 300,一直引领行业潮流。我们的专利技术不断助力新一代半导体器件的研发与生产。

为了确保您的设备始终保持最佳运行状态和高效率,布鲁克提供:

  • 全球一流的服务和技术支持团队,快速响应客户需求,追求首次拜访就能解决您的问题。

  • 战略性布局的服务中心,确保备件及时供应,缩短停机时间,提高运营效率。

  • 定制化的服务方案,量身打造最适合的支持计划。

Bruker's semiconductor metrology innovation timeline

专业探针选择

布鲁克是唯一自己探针工厂的AFM制造商。我们不断开发针对特定应用优化的新型探针,致力于为先进工艺节点提供更精准和可靠的测量分析。

 

(left) CDR1000-10UM probe for sidewall imaging. (right) BNT-500-12 probe with a >500nm long EBD spike, suitable for a multitude of applications.

聚焦产线

优秀的测量能力

InSight 300提供稳定,可经NIST溯源的无伪像数据。它内置了专业的量测知识可快速进行下列精确和可重复的测量:

Map representing field of view, spatial frequencies and height ranges covered by Insight 300’s AFM and profiling capabilities. Examples shown are (a) atomic steps on 2D material, (b) 10µm step height, (c) 100µm bond pad metrology scan, and (d) >20mm profile scan.

应用专属模式

为满足特定应用场景而开发的专业模式,是布鲁克区别于其他在线AFM方案的关键。使用专属模式不仅能够实现顶尖的测量精度,还能极大提升产率。

InSight 300集成了布鲁克多项专利技术,包括专门用于表面粗糙度和缺陷分析(TrueSense®)、侧壁粗糙度与侧壁角度测量(CDMode)、高深宽比结构深度检测(DTMode),以及大范围表面形貌测量(surface profiling)等多种功能。

Bruker’s specialized application-dedicated operating modes: TrueSense®, Profiling, DTMode, and CDMode. 

探针的自动化管理

布鲁克的 TipX 技术让 InSight 300 真正实现了探针自动化管理,并且完全有信心在HVM 环境下达到超高品质标准。探针不仅能自动装载,还能自动校正(Tip qualifications)以确保所选探针满足具体应用需求。

探针通过真空吸取并装载,避免了传统的磁性或粘合剂固定所带来的不便,大大拓宽了探针选择的灵活性,降低了综合成本,避免了污染源的引入。

(left) Automatic probe shape qualification. (right) Probe cassette with a 25-probe capacity.

经过验证的高性能

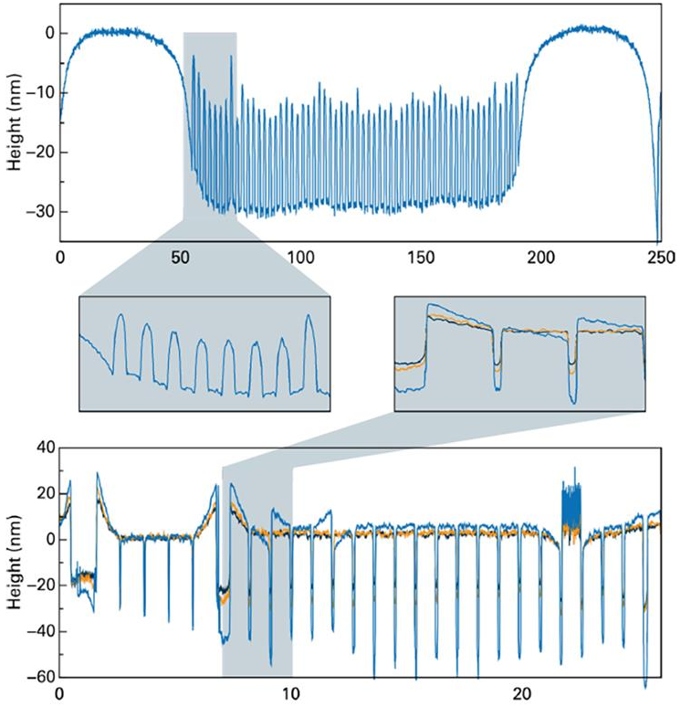
在整个开发和生产过程中,InSight 300 的性能通过长期稳定性(long-term stability)、线性度(linearity)和准确性测试(accuracy tests)不断验证。实现了在整个105µm2 的扫描范围内的平面外运动(OPM)小于±1 nm,且高达18 μm 的Z 向扫描范围可以轻松探测深槽结构。此外,InSight 系列配备了大范围轮廓扫描台(long-range profiling stage),突破了传统AFM 扫描范围的限制,使InSight 300成为了处理现代纳米尺度量测问题的理想工具。

 

 

(left) Statistical process control chart showing sub-nanometer long-term stability. (right) Step height on VLSI reference samples showing high accuracy and linearity.

多功能光学系统

InSight 300 搭载的集成光学系统让操作者可以轻松导航至感兴趣区域,并高效创建配方站点。结合双通道、以探针为中心的目标镜头,外加第三个偏置物镜,既保证了最佳的光学分辨率,又维持了最大的视野范围。这一设计显著提升了工作效率,同时确保了高质量的数据采集。

Field of view and resolution for InSight 300’s integrated optics, illustrated on a MetroBoost FP100 reference structure.

现代化用户界面

InSight 300 的设计理念中融入了极致的易用性,使得技术人员可以迅速创建高效优质的工作流程。其用户友好的图形界面可在不到五分钟内完成配方的创建,包括对应的自动化的探针管理和资源追踪。此外,支持离线配方的创建和修改,即使在配方开发阶段也能保证生产设备持续运行,从而避免停机时间,提高生产效率。

Automated wafer map generation and recipe wizard.
Applications

Optimized for Your Applications

Roughness Morphology 粗糙度测量

得益于设备低于35 pm 的低噪声水平,InSight 300 能实现对亚埃级表面粗糙度的监控,可以定量测量低于100 pm 均方根(RMS)粗糙度的超光滑表面。即便在约1 min/site 的MAM(move-acquire-measure)频率下,采集的粗糙度数据依然保持高度准确性和重复性(例如,在RMS 粗糙度小于1 nm 的光滑表面上,3σ标准差小于10 pm)。

Image: (left) Ultrasmooth Si (85pm RMS, 1nm Z scale, 1x1µm scan). (middle) Post-CMP ILD area with 0.42nm RMS (8nm Z scale, 3x3µm scan). (right) High-throughput roughness metrology repeatability result on two Si wafers with 106pm RMS and 83pm RMS, 3σ<5pm. Acquired at <1 min MAM time.

Depth Metrology 深度测量

布鲁克独有的DTMode(Deep Trench Mode)专为重复测量深半导体结构而设计,特别适用于数十纳米至十五微米左右的窄沟槽(narrow trenches)和通孔(vias)等结构。结合专为深槽结构开发的高深宽比探针和不到10 秒的MAM 时间,DTMode 能够完美匹配大规模生产中蚀刻工艺量测需求。

Image: (left) DTMode scan and (right) section profiles of a dense array of vias (depths 80 to 100nm), enabling within-wafer process variation studies.

Sidewall Profiling 侧壁剖析

侧壁角度(SWA)和侧壁粗糙度(SWR)是影响器件和集成电路性能的关键参数。基于电镜的量测方案是破坏性的且不甚准确,使用AFM 测量这些关键尺寸则需要专门针对侧壁的模式,而不是传统倾斜扫描头的方法(将引入十分显著的TMU)。布鲁克的专利模式CDMode 是真正的CD-AFM 解决方案,有着无可匹敌的测量精度(accuracy)、重复性(repeatability),还有着被产线验证过的超低TMU。

Image: (left) CDMode characterizes a line/space pattern with 150nm pitch for (middle) high-resolution SWA, and (right) line edge roughness.

Automatic Defect Review 自动缺陷复查

AFM 缺陷复查是一种非破坏性的解决方案,相比于传统的复查技术(如SEM/EDX),不仅测量精度更高,还能测量粘附力,进一步辅助缺陷的分类。InSight 300 支持全自动、基于配方驱动的缺陷复查,兼容KLARF 标准,可在不到五分钟内快速创建配方并实现自动裸晶圆注册,达到每小时几十个缺陷的高效产出。

 

Image: High-resolution height scans of various nanometer-scale defects (2x2µm scans), and simultaneously acquired adhesion measurements (final two images, in pink) further aiding defect classification.

Surface Profiling 表面轮廓扫描

InSight 300 提供了顶级的轮廓能力(Profiling),能够在长达50 mm 的距离上进行测量,速度高达1mm/s,轻松测量整个晶片。这得益于其先进的非接触线性平台运动技术(non-contact linear stage motion),确保了局部和长程平面度的精确控制。典型的应用场景包括化学机械抛光后(post-CMP)凹陷和侵蚀特征(dishing and erosion)的表征、边缘倒角(bevel edge)以及台阶高度(step height)测量。

Image: Post-CMP profiling (2nm data spacing) with high repeatability for both dishing (3σ = 0.14nm) and erosion metrology (3σ = 0.32nm).

Hybrid Bonding 混合键合解决方案

Insight 300可应用于目前最先进的混合键合技术节点,为键合垫的量测提供高分辨率成像,粗糙度分析,以及键合位置的自动斜面边缘测量等多种专用方案。

Image: Cu/ILD pattern post CMP revealing critical roughness and recess depth information for the hybrid bonding process.


Contact us to discuss your specific application, process needs, and measurement requirements.

Specifications

InSight 300 Automation Specifications

Each wafer manufacturing facility and semiconductor fab has its own specific requirements and challenges. Our listed product specifications and offerings are always a starting point for a conversation with our experts to determine how our capabilities can meet your needs.

Fab Automation SECS/GEM Host Automation Interface, E84 PI/O AMHS support
SEMI Standards E4, E5, E30, E37 & E37.1, E39 & E39.1, E40, E87 & E87.1, E90, E94, E116 & E116.1
Regulatory Compliance: CE, UKCA, KC, SEMI S2/S8, F47, 21 CFR 1040.10, 21 CFR 1020.40
Tip Handling Automated Tip Management and Tip Exchange
Tip Capacity: 4 Cassettes, 25 Tips each
Support

How Can We Help?

How Can We Help?

Bruker partners with our customers to solve real-world application issues. We develop next-generation technologies and help customers select the right system and accessories. This partnership continues through training and extended service, long after the tools are sold.

Our highly trained team of support engineers, application scientists and subject-matter experts are wholly dedicated to maximizing your productivity with system service and upgrades, as well as application support and training.

Contact Expert

Contact Us About InSight 300

Input value is invalid.

* Please fill out the mandatory fields.

Please enter your first name
Please enter your last name
Please enter your e-mail address
Please enter your Company/Institution

     

Please enter a valid phone number

ⓘ Used to provide a faster response to your request/question.

Please enter a valid phone number

ⓘ Used to provide a faster response to your request/question.

Please enter a valid phone number

ⓘ Used to provide a faster response to your request/question.

Please enter a valid phone number

ⓘ Used to provide a faster response to your request/question.

Please add me to your email subscription list so I can receive webinar invitations, product announcements and events near me.
Please accept the Terms and Conditions

             Privacy Notice   Terms of Use