Discover MoRE with Mobility Range Enhanced 4D-Metabolomics™

timsMetabo™

The next-generation research engine for 4D-Metabolomics™ and 4D-Lipidomics™ delivers unprecedented sensitivity, separation power and annotation confidence for small molecules.

The power to see MoRE

Game-changing sensitivity for TIMS-enabled small molecule analysis

timsMetabo
timsMetabo

Discover MoRE with Mobility Range Enhanced 4D-Metabolomics

Game-changing sensitivity for
TIMS-enabled small molecule analysis
Synergistic integration of TIMS technology and the Athena Ion Processor (AIP)
A digital metabolome archive
of every sample analyzed
Simultaneous quantitation and characterization of analytes within each sample virtually eliminates the need for re-runs.
Routine 4D separations
and CCS measurements enable confident annotation
See MoRE metabolism thanks to the novel TIMS Mobility Range Enhancement (MoRE) technology and established MetaboScape® software.
Fully featured 4D-enabled quality control and established software ecosystem
Longitudinal monitoring of key performance attributes across platforms with TASQ® RealTimeQC, QSee™ performance testing, and TwinScape™.

4D-Metabolomics™ and 4D-Lipidomics™ at speed, at depth, and at scale

This benchtop platform brings together technological innovations for uncompromised small-molecule performance.

Key features include:

  • TIMS-MX and Mobility Range Enhancement (MoRE) leverage mobility-based ion sorting to increase the separation capacity and enable confident metabolite annotation.
  • The Athena Ion Processor (AIP) works synergistically with TIMS-MX to boost MS and MS/MS sensitivity, helping to detect, measure, and annotate low-abundance compounds in complex samples.
  • The VIP-HESI ion source provides maximum signal intensity and sensitivity.
  • The precision detection system supports reliable profiling and quantitation of metabolites and lipids.
     
timsMetabo™ - Discover MoRE!

“The timsMetabo uniquely combines sensitivity and selectivity, facilitating measurement of both, known biomarkers and the exploration of new metabolic signatures in research on inborn errors of metabolism. This performance versatility in a single instrument accelerates our research in expanding our knowledge of human metabolism from a clinical/translational perspective towards our ultimate goal to use such technologies to unravel pathologic mechanism of disease and promote new therapeutic strategies for both inherited and acquired disorders.”

Frédéric Vaz, Ph.D., Associate Professor, Amsterdam University Medical Center, Amsterdam, Netherlands

The power to see MoRE metabolism

The timsMetabo™'s enhanced sensitivity enables deeper and more accurate profiling with less sample. A refined ion path geometry builds on successive generations of timsTOF design, enabling efficient ion sampling for incredible sensitivity with analytical scale LC compatibility.

SRM 3672 reference urine analysis on timsMetabo™ requires ten times less concentrated sample

Complex samples demand the measurement selectivity of TIMS-enabled 4D-workflows

TIMS-enhancement enables resolution of isomers, isobars and interferences, reducing the incidence of chimeric MS/MS spectra for high-confidence automated annotation. Lipid and metabolite annotation benefits from clean MS/MS spectra, especially in automated downstream workflows utilising spectral libraries and in-silico fragmentation (4D-Metabolomics™) and rule-based annotation (4D-Lipidomics™). Here, co-eluting and co-isolated lipid species, measured using dia-PASEF® 4D-Lipidomics™, are mobility separated, producing distinctive and characteristic MS/MS fragmentation spectra for each. These cleaned spectra form the cornerstone of accurate annotation, interpretation and reporting.

Extended mobility capability for 4D-Metabolomics™

The TIMS-MX analyzer and MoRE enhance small molecule transmission for broad metabolome coverage in 4D-Metabolomics™ workflows.

Achieve accurate quantitation with low limits of detection for small molecules while using 4D-Metabolomics™ workflows that simultaneously and routinely deliver accurate m/z and CCS measurements for high confidence metabolite annotation.

A Digital Metabolome Archive from each sample analysis

The timsMetabo™ enables simultaneous quantitation and characterisation of the analytes within each sample analysis, virtually eliminating the need for re-acquisition. timsMetabo™ data enable confident analysis and annotation, and are well suited for AI in metabolomics with machine learning from large-scale, high-quality data sets.

QSee™ for System Performance Testing

Introducing the QSee™ solution for System Performance Testing.

Ensuring data reproducibility is crucial in scientific research, particularly in untargeted "omics" mass spectrometry. The QSee™ Performance Test Software and the QSee™ 8-Mix reference mix provide a comprehensive solution for automated system suitability testing in LC-TIMS-MS, promoting consistency and accuracy in large cohort studies.

  • For System Performance Testing: Each QSee™ Test returns a report with a pass or fail feedback
  • For Long-term Surveillance: Longitudinal data can be used for trend analysis

Data quality monitoring for precision results

When pushing the boundaries of metabolomics and lipidomics-based discovery research, the importance of data quality is paramount. The QSee™ Performance Test Solution offers an easy-to-use Quality Control workflow. Dedicated columns for metabolomics and lipidomics applications, and compound mixtures, together with Standard Operating Procedures simplify the evaluation of LC-TIMS-MS data quality. Automatic alignment with TwinScape™ uncovers trends in system performance over time. Stay on top of your performance!

“By integrating QSee Performance Testing into our lab routine, we’re conveniently benchmarking our LC-TIMS-MS system performance before each experiment. The slim and intuitive workflow makes this a straightforward check, and the results provide assurance and peace of mind that we’re consistently producing high quality data. 

Confidence in our analytical results has never been higher, thanks to this comprehensive solution. It’s truly a QC game-changer for our lab.”

Christoph Trautwein, Ph.D., Director, Core Facility Metabolomics, University of Tübingen, Tübingen, Germany

Advanced profiling and quantification of novel bile acids

Newly discovered, amino acid conjugated bile acids are involved in gut microbe-host interactions. Characterizing these novel and structurally similar compounds is imperative for deciphering their biological function.

“Bile acids are a diverse and biologically important class of molecules involved in nutrient transport, immune regulation, and are altered in response to medications, diet, and disease. Thousands of distinct bile acid structures – including newly discovered microbially modified forms – are now being revealed. Ion mobility, enhanced by CCS values alongside chromatography and MS/MS, is unlocking this hidden complexity, advancing our understanding of bile acid biology, clinical research, and therapeutic discovery. The technology within the timsMetabo will help us better understand this biologically diverse class of molecules routinely, and this is an exciting combination.”

Pieter Dorrestein, Ph.D., Professor, UC San Diego, San Diego, CA, USA

Identifying biomarkers of tobacco smoking exposure in human urine

Unknown metabolic features can be annotated using tools for matching experimental and predicted CCS values and MS/MS spectra.

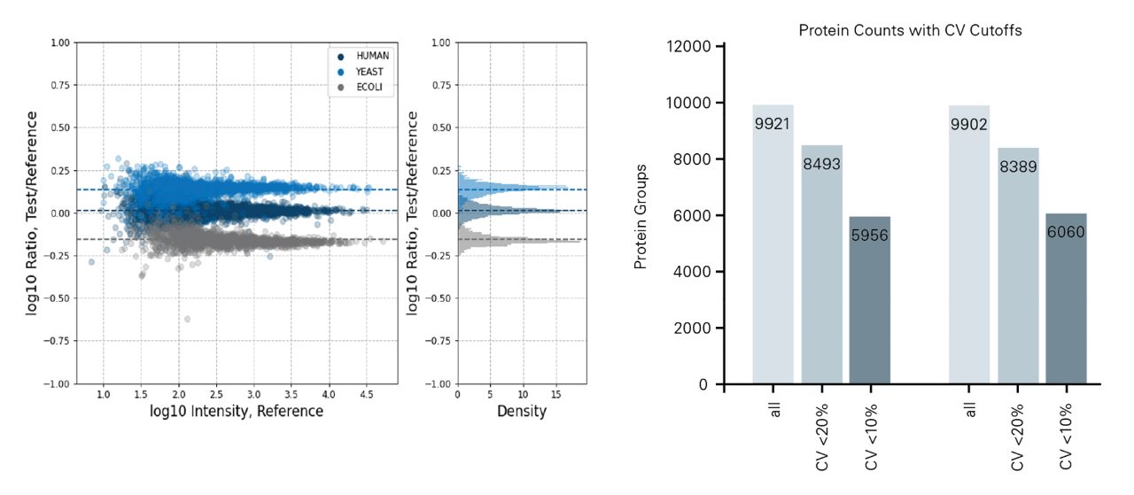
Unlock comprehensive proteomics insights with timsMetabo

timsMetabo™ is designed to excel in lipidomics and metabolomics while preserving the unique proteomics research capabilities of the timsTOF family. By integrating multiomics capabilities in a single platform, this system offers uniquely comprehensive insights into biological processes, enabling researchers to uncover complex molecular interactions and pathways.