timsTOF

timsTOF MALDI PharmaPulse®

New insights into molecular interactions by label-free HTS taking advantage of innovative timsTOF technology.

Label-free HTS redefined

Delivering unprecedented HTS information content and throughput

timsTOF MALDI PharmaPulse®

Taking label-free high-throughput screening to the next level

Speed & Robustness
timsTOF MALDI PharmaPulse® offers true uHTS capability with fast reading rates up to 3 wells / sec and proven MALDI robustness.
TIMS enabled
timsTOF MPP adds a new dimension to HTS by utilizing, for the first time ever, Trapped Ion Mobility Spectrometry for ultrafast separation and CCS awareness.
Specificity
Superior HTS results provided by combining TIMS separation of isobars and isomers with sensitive readout by high-resolution accurate-mass QTOF-MS.
Versatility
Unmatched performance in a wide range of high-throughput applications ranging from quantitative assays to near real-time synthesis screening in HTE chemistry.

Unbiased, deep HTS by label-free mass spectrometry

The timsTOF MPP represents the flagship member of the Bruker PharmaPulse® product line. It features the extreme speed and proven robustness of MALDI and, for the first time ever in HTS, takes advantage of Bruker's innovative Trapped Ion Mobility Spectrometry (TIMS) technology. TIMS enables rapid gas-phase separation of isobars, and even isomers, by exploiting the molecular collisional cross-section. This, in combination with routine 50,000 mass resolution in QTOF-MS detection enables revolutionary levels of assay specificity at HTS speed.
timsTOF MPP uses a dual MALDI / ESI ion source with industry-leading 10 kHz smartbeam™ 3D laser to enable uHTS compatible speed and throughput, and is available with the unique MALDI-2 option for an expanded chemical space.

As part of the solution, the new MALDI PharmaPulse® 2023 software supports a broad range of HTS applications for drug discovery. Its automation interface allows for timsTOF MPP integration in high-throughput environments and works in concert with scheduling software from various vendors. Furthermore, MPP 2023 enables seamless transfer of data and results to downstream analysis software, e.g., to Genedata Screener®.

timsTOF MALDI PharmaPulse®

Exceptional data quality delivered at uncompromised HTS speed

timsTOF MPP delivers high-resolution accurate-mass QTOF-MS data at high analysis speed throughout large acquisition campaigns – a key requirement for success in uHTS. Readout of a 1536 formatted sample plate in high-resolution MS or MS/MS mode takes less than 10 minutes, typically (reading rates up to 3 wells / sec). Outstanding data quality is maintained throughout large scale measurements ensuring precise quantitative feature extraction for a broad variety of target molecules ranging from small drug-like compounds up to large sized peptides translating into minimized false discovery rates (FDR).

Mass accuracy monitored for two peptide ions over a time window of more than 5 hours:

Titration curve obtained for perphenazine (MW 403 Da) over 3 orders of magnitude concentration range (0.001 – 1 µM):


Titration curve obtained for ubiquitin (MW 8558 Da) over 2 orders of magnitude concentration range (0.01 – 1 µM):

The TIMS benefit: Fast separation of isobars and isomers

TIMS is capable of separating isobars and even isomers on a timescale significantly faster than SPE (typically ≤ 1 sec per separation cycle) enabling interference-free quantitation of target compounds indistinguishable by mass spectrometry alone.

Example: Quantitative MALDI-TIMS-MS analysis of glucose (C6H12O6) in presence of isomeric fructose (C6H12O6)

Advanced timsTOF operation modes for enhanced quantitation results

In HTS, quantitation of target compounds can be affected by the complex sample matrices typically present in biochemical or cellular assays. timsTOF MPP offers unique possibilities to overcome such background interferences: Engaging Trapped Ion Mobility Spectrometry (TIMS) for fast separation in the gas phase and exploiting the increased specificity provided by high-resolution MS and MS/MS, advanced timsTOF MPP operation modes enable efficiently minimized levels of background interference resulting in enhanced quantitation at HTS speed.

Example: Quantitative analysis of a drug-like molecule (MW 543 Da)
Quantitation in MALDI-MS mode is disrupted due to spectral overlap with assay background. Performing the same analysis in MALDI-TIMS-MS/MS mode enables interference-free quantitation of the target molecule.

Sample courtesy: Frank H. Büttner, Ph.D., and Team, Drug Discovery Sciences, Boehringer Ingelheim Pharma GmbH & Co. KG, Biberach, Germany

MALDI PharmaPulse® 2023: Dedicated software supporting HTS workflows

As part of the timsTOF MPP solution, MALDI PharmaPulse® 2023 software supports a broad range of HTS applications in early drug discovery. The software provides an easy-to-use interface for seamless setup and execution of screening campaigns utilizing various timsTOF MPP operation modes engaging TIMS and MS/MS. The automation interface provided with MPP 2023 allows for system integration in HTS environments and works in concert with automation scheduling software from various vendors. Furthermore, MPP 2023 enables direct transfer of data and results to third-party downstream analysis software, for example to Genedata Screener®.

An integrated next-generation solution for MS based label-free HTS and uHTS

The core of the solution is Bruker´s timsTOF mass spectrometer equipped with:

  • Dual MALDI / ESI ion source
  • Autoloader for MALDI plate exchange by robot
  • MALDI-2 (optionally)

Light-weight plate adapters ensure safe handling of MALDI plates by lab robotics during fully automated sample preparation and subsequent data acquisition campaigns.

Cost-efficient disposable MALDI sample plates allow for automated MALDI preparation by high-performance liquid handlers in any format ranging from 96 to 1536 and beyond.

Enzyme activity screening enabled at shortest time to result

Label-free monitoring of enzyme activity is performed on the timsTOF MALDI PharmaPulse® at HTS speed and highest level of performance.

In a proof-of-concept study, differently bioengineered enzyme variants were assayed for their activity by quantifying glucose as a final product of enzymatic conversion using 13C6 glucose as an internal standard. High-resolution accurate-mass data delivered by timsTOF MPP allowed for robust and reliable target feature extraction resulting in outstanding RSD values between 0.1 and 3.7 %.

Sample courtesy: Prof. Peter Westh, Department of Biotechnology and Biomedicine, Technical University of Denmark, Lyngby, Denmark

Next-level performance in AS-MS based HTS of protein-ligand interactions

timsTOF MALDI PharmaPulse® offers unique capabilities for label-free readout of small-molecule ligand-binding HTS assays based on affinity-selection mass spectrometry (AS-MS). Accurate-mass analysis performed at high resolving power delivers high-quality ligand hits at reading rates of less than a second per well. 

TIMS has the potential to further enhance AS-MS by resolving isobaric assay background, providing new possibilities for multiplexing even with isobaric and isomeric compounds, and yielding reproducible CCS values for compound library validation as well as verification of AS-MS hits.

Sample courtesy: Fleur Kleinpenning, Ph.D., and team, Pivot Park Screening Centre (Oss, NL)

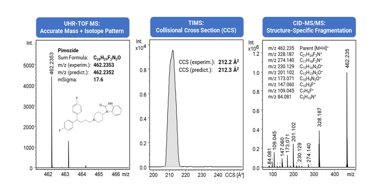
CCS-enabled synthesis screening in near real-time supporting HTE chemistry

In search of new drug molecules, high-throughput experimentation (HTE) creates vast libraries of newly designed compounds through multi-variant high-throughput chemistry. A key bottleneck in this process is the rapid analysis and confirmation of chemical reaction products.

timsTOF MPP is capable of keeping the pace with HTE chemistry and enables near real-time verification of synthesis products at a high convidence level by measuring multiple physical properties, i.e. accurate molecular mass, isotopic pattern, collisional cross-section (CCS) and, on-demand, CID-MS/MS fragmentation data, reducing HTE feedback time and chemical costs. 

MALDI-2: Access to expanded chemical space

MALDI-2, a groundbreaking new technology based on laser post-ionization, enhances the detectability of certain classes of compounds that used to be out of scope of conventional MALDI providing analytical access to an expanded chemical space.