Atomic Force Microscope

NanoWizard V BioScience

Automated quantitative nano-mechanical imaging

NanoWizard® V BioScience

The JPK NanoWizard® V combines high spatio-temporal resolution with a large scan area, flexible experiment design, and out-standing integration with advanced optical microscope systems. The automated setup, alignment, and re-adjustment of system parameters opens new possibilities for long-term, self-regulating experiment series.

Automation
Perfecting performance, increasing productivity
Automated setup, workflow, and calibration opens new possibilities for long-term, self-regulating experiment series and complex experimental routines.
NanoMechanics
Quantitative Imaging
Nanomechanical characterization of single molecules, cells, tissues, and highly delicate samples thanks to advanced force control.
Fast scanning
400 lines/sec
Study dynamic biological processes in real time via adaptive, intelligence-based scanning routines, fast force mapping and molecular recognition.

Discover the 5th Generation BioAFM

NanoWizard V is expected to significantly advance our understanding of dynamic cellular processes and molecular mechanisms. Its PeakForce-QI mode enables fast and flexible quantitative nanomechanical measurements—significantly extending the capabilities of AFM—while its automated, remote-control, and fast-scanning capabilities provide high-throughput, high-performance imaging of even complex experiments.

NanoWizard V features novel scanner and sensor technologies and state-of-the-art control software that encompasses an intuitive, workflow-based graphical user interface (GUI) to ensure true, easy-to-use AFM operation.

  • Unmatched ease of use
  • Speed for dynamics and improved throughput
  • Automated, high pixel density mapping and imaging

 

NanoWizard V BioScience setup on Zeiss Axio Observer with tablet control.
  • From the pioneers of BioAFM with over 25 years of experience in developing BioAFMs
  • Recognized by an install base of over 1000 JPK/Bruker BioAFMs across the globe
  •  Proven by 8500+ publications with biological significance
  • Supported by dedicated cantilever development for high-resolution imaging and customized applications
  •  Paving the way for new scientific discoveries with:
    ·       PeakForce-QI, PeakForce Tapping®, PeakForce QNM®, QI
    ·       Single Molecule Force Spectroscopy (SMFS)
    ·       Single Cell Force Spectroscopy (SCFS)
    ·       DirectOverlay 2 for AFM in conjunction with advanced optical microscopy
    ·       New software environment V8
    ·       Features the latest ExperimentPlanner and ExperimentControl
    ·       Accessories for high NA optics and AFM, environment control, and more

Latest Technology for Maximum Efficiency

Highest performance BioAFM  

Featuring an enhanced, workflow-based  design with intuitive user guidance in the new SPM V8 software, the NanoWizard V empowers beginners and experts alike to acquire highest quality, reproducible data. The system’s high degree of automa-tion improves productivity and maximizes throughput. State-of-the-art analysis and batch processing routines ensure scientific accuracy and statistical data reliability.

  • Adaptive intelligent scanning routines enable faster scanning rates of up to 400 lines/sec
  • Lowest noise scanner and detection system ensure high-resolution data and unrivalled  performance on inverted optical microscopes 
  • PeakForce-QI, the symbiosis of PeakForce Tapping and QI modes, delivers  the fastest,  most advanced force control for highly delicate samples

 

Fastest automated BioAFM for corrugated samples on an inverted microscope

  • Visualize dynamics with Bruker’s Nested  Scanner and latest feedback technologies 
  • Bruker’s proven DirectDrive increases  cantilever excitation stability
  • Active balancing provides faster scanning over large scan ranges
  • Improved productivity and maximized throughput enables better statistics 
  • Intelligent optimization routines deliver quantitative nanomechanics

 

Most intuitive BioAFM operations

  • Fundamental ease-of-use features
  • User management, ideal for multi-user facilities
  • Automated setup and workflow
  • Single-click cantilever calibration
  • Single-click optical image calibration 
  • Extended optical viewing field for AFM with stitching feature
  • Long-term, unattended experimental procedures
  • Remote operation capabilities
  • Optimized storage of parameters and favorites 
  • Intuitive integration of data processing routines
Tapping mode topography image of Annexin 5 protein on lipid membrane in buffer acquired at 40 Hz line rate showing the occupation density of centric trimers in 2D honeycomb structure. Scan size 1.3 µm x 1.3 µm, height range 8.0 nm.
Fast tapping mode topography image acquired at 170 Hz line rate of Annexin 5 protein on lipid membrane in buffer. The arrows depict the occupation of a centric trimer from solution in the 2D crystal structure 12 seconds (8 frames) later. Scan size 96 nm x 96 nm, height range 1.0 nm.
Left: Topography image of atomic lattice of mica in liquid. Image taken in closed-loop on an inverted microscope, scan size 10 nm × 10 nm, height range 210 pm. Right: DNA origami (GATTA-AFM, Gattaquant, Germany) Tapping Mode topography image acquired at 400 lines/sec in TAE buffer, scan size 96 nm x 96 nm, height range 3.1 nm.
Features

Understanding Forces in Biology

The leading BioAFM for mechanobiology

By providing the right model for the right experiment, Bruker delivers easy solutions to complex scientific questions. Automated measurement procedures allow researchers to concentrate on what’s important - their research - and to question why and not how.

  • Investigate single molecules, live cells, and tissue samples
  • Study corrugated and delicate, soft sample structures under native conditions
  • Gain a detailed understanding of viscoelastic properties and adhesion processes
  • Highest level of automation thanks to Autoalign, HybridStage or motorized stage, ExperimentPlanner, ExperimentControl, and GUI featuresfor high-speed signal processing and lowest noise levels

 


PeakForce-QI – a new chapter in quantitative imaging

The pioneers of quantitative biological imaging, with PeakForce Tapping (2000+ publications) and QI (~1000 publications), now bring you the next generation:
PeakForce-QI.

  • Fastest nanomechanical imaging thanks to latest piezo and sensor technologies
  • Easy, precise batch processing
  • True, real-time force curve monitoring
Correlated PeakForce-QI and fluorescence data set of live NIH-3T3 fibroblasts (murine) cells acquired at 37°C in cell medium. AFM sets blue: PeakForce-QI topography images of live fibroblasts, height ranges top 2.35 µm, bottom 3.5 µm. AFM sets red: Young’s modulus images extracted from PeakForce-QI, Z ranges top 5.2 - 13.1 kPa, bottom 0 - 30 kPa, scan sizes top 10 µm × 10 µm, bottom 23 µm × 23 µm. Overview: Overlay of fluorescently labelled fibroblasts with CellMask™ Green Actin Tracking Stain and Young’s modulus images, sample courtesy of Dr. Wedepohl, Freie Universität Berlin (Germany).

Quantitative Data  and Intelligent Analysis

Automated Force Spectroscopy Reloaded

The pioneers of Single-Molecule Force Spectroscopy (SMFS) and Single-Cell Force Spectroscopy (SCFS) now bring you even more flexibility, higher precision, and increased throughput.

  • Proven ForceRobot technology now built-in
  • Bruker’s intuitive and powerful RampDesigner
  • Automated calibration
  • Molecular recognition imaging
  • Most sensitive force control and tip-saving features


Powerful Data-Slices

  • Flexible creation of topography images at different forces
  • Proprietary contact point imaging
  • Image stack output of any channel from batch processing


For complex experiments, from single molecules to cells and tissues

  • Optimized environmental control options
  • Comprehensive nano-mechanics with RampDesigner
  • Complex experimental routines with ExperimentPlanner
  • Integration of several modes in long-term, unattended experiments
Unfolding of a single GB1 protein acquired in an automated, long-term experiment of ~54,000 curves in ~16 hours. Inset: Contour length difference plot. Sample courtesy of Prof. Cao, Nanjing (China).
Map of rat muscle tissue slice. Optics: Tiled 1.60 mm x 0.85 mm phase contrast and Hoechst 33342 fluorescence using HybridStage. Inset maps: Young’s modulus acquired automatically with MultiScan (z range 10 - 260 kPa). Inset plot: Loss tangent vs. frequency of two positions inside map (see arrows). Orange dots and blue squares positions 1 and 2, respectively. Sample courtesy of Prof. Ansgar Petersen, Julius Wolff Institute, Charité, Berlin (Germany).

Correlated Microscopy Newly Defined

Leading BioAFM in combination with advanced optical microscopy

  • Perfect integration into advanced optical techniques
  • Optical super-resolution (STED, FLIM, …)
  • Upright for tissues, implants etc.
  • DirectOverlay 2/MIRO
  • One-click optical image import
  • 980 nm OBD option
  • DirectTiling, for larger scale efficiency
  • Stitching
  • MultiScan
  • Seamless integration of multiple optical, external and AFM channels
Background image: Fluorescence image of live E.Coli bacteria labeled with Hoechst 33342 acquired on coverslip in buffer. Middle image: Tapping Mode topography image of dividing E.Coli bacteria utilizing nested scanner technology, scan size 1.7 µm × 3.6 µm, height range 1.0 µm. Left image: Nested scanner Tapping Mode topography image zoom resolving outer membrane protein network. Scan size 200 nm × 150 nm, height range 3.5 nm.
NanoWizard V with Zeiss LSM 800 (setup courtesy of group Prof. Dr. Marie Weinhart, Freie Universität Berlin and Leibniz Universität Hannover), with BioMAT Workstation for high NA optics and Zeiss Axio Imager and on Olympus IX83 with Picoquant MicroTime 200 STED.

Optical Modes Combinations

  • Brightfield
  • DIC
  • Phase or modulation contrast
  • Confocal microscopy
  • Spinning disc
  • TIRF and IRM
  • FRET, FLIM, FRAP, FCS
  • Ca2+ imaging
  • Superresolution (STED, PALM/STORM, SIM)
  • Macroscope combination
  • Optical tweezers with OT-AFM

Unrivalled Flexibility by Design

Optimized for use in microbiology and virus research


The NanoWizard V BioAFM enables direct access to pathogens and infectious  agents in a BSL facility. Each step, from sample preparation, loading and disposal to running the experiment, can be performed directly in the biosafety lab.

  • Suitable for working with native pathogens and biohazardous material
  •  No “additional preparation“ steps
  •  BSL-3 compliance achieved  
    (in accordance with lab’s safety regulations)


Explore an extensive range of accessories  for versatile experimental setups and environmental control.

Seamless combination with the FluidFM technology enables a host of novel  experiment designs and applications.

DMPC ripple phase formation imaged in Tapping Mode at 200 Hz line rate in EDTA buffer using the nested scanner feature. The sequence shows two different ripple phase formations with increasing/decreasing temperature. Scan size 300 nm × 300 nm, z range 5 degrees.
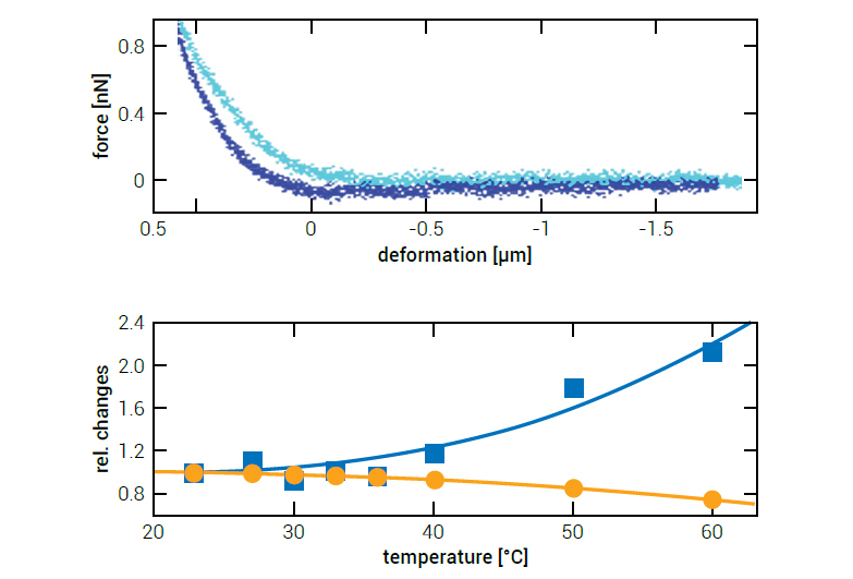
P(NIPAM-NEAM) hydrogel microparticles for cell-interactive scaffold engineering analyzed with QI at varying temperatures in the BioCell. The images demonstrate the QI topography and Young’s modulus map on the particle and a series of optical phase contrast images.
The top image shows the corresponding QI force curve., the bottom curve shows the increase in Young’s modulus (blue) and decrease in size (orange) with increasing temperature. Sample courtesy of Prof. De Laporte, Aachen (Germany).
Applications

Life Science AFM Data Gallery

Bruker’s BioAFMs allow life science and biophysics researchers to further their investigations in the fields of cell mechanics and adhesion, mechanobiology, cell-cell and cell-surface interactions, cell dynamics, and cell morphology. We have collected a gallery of images demonstrating a few of these applications.

Specifications

Operating Modes

Standard Operating Modes

  • Now with PeakForce-QI including PeakForce Tapping,  QI and PeakForce QNM
  • Including fast PeakForce Tapping and QI with nested scanner technology
  • Contact mode with lateral force microscopy (LFM)
  • Tapping Mode™ with PhaseImaging™
  • ExperimentPlanner for designing a specific measurement workflow
  • Static and dynamic force spectroscopy
  • Advanced Force Mapping

 

Optional Modes

  • Advanced spectroscopy modes such as various force clamp modes or ramp designs
  • Fast scanning option with line rates of up to 200 Hz
  • QI Advanced mode for quantitative data, perfect for soft samples
  • ScanAsyst automated gain and setpoint adjustment in PeakForce Tapping and PeakForce-QI
  • Advanced AC modes such as FM and PM with Q-control & Active Gain Control
  • Microrheology in CellMech Package
  • Kelvin Probe Microscopy
  • MFM and EFM
  • Conductive AFM
  • STM
  • Electrical spectroscopy modes
  • Piezoresponse Microscopy for high voltages
  • Electrochemistry & Scanning Electrochemistry with temperature control and optical microscopy
  • NanoLithography and NanoManipulation
  • NanoIndentation
  • Scanning Thermal AFM
  • FluidFM® solution from Cytosurge
  • ExperimentControl feature for remote experiment control
  • DirectOverlay 2 for combined AFM and optical microscopy
  • Additional XY or Z sample movement stages available with CellHesion®, TAO™ and HybridStage™ module
Accessories

The Widest Range of Accessories in the Market

Optical systems/accessories, electrochemistry solutions, electrical sample characterization, environmental control options, software modules, temperature control, acoustic and vibration isolation solutions and more. Bruker provides you with the right accessories to control your sample conditions and to perform successful experiments.  

Webinars

Watch Recent BioAFM Webinars

Our webinars cover best practices, introduce new products, provide quick solutions to tricky questions, and offer ideas for new applications, modes, or techniques.

Testimonials

"The NanoWizard V  is excellent for medical component analysis."


Prof. Dr. rer. nat. Hans Bäumler
Head of Research Department
Institute of Transfusion Medicine, Charité University Hospital Berlin (Germany)

"The system’s  promised speed and resolution, ease of use, and up-to-millimeter-range capabilities make this a game changer for AFM investigations in nanomedicine and bio-medical applications."

Dr. David Martinez Martin
Physicist · Senior Lecturer in Biomedical Engineering
Co-chair of the sensors and diagnostics cluster of the Nanohealth Network (University of Sydney)

Input value is invalid.

* Please fill out the mandatory fields.

Please enter your first name
Please enter your last name
Please enter your e-mail address
Please enter your Company/Institution

     

Please enter a valid phone number

ⓘ Used to provide a faster response to your request/question.

Please enter a valid phone number

ⓘ Used to provide a faster response to your request/question.

Please enter a valid phone number

ⓘ Used to provide a faster response to your request/question.

Please enter a valid phone number

ⓘ Used to provide a faster response to your request/question.

Please add me to your email subscription list so I can receive webinar invitations, product announcements and events near me.
Please accept the Terms and Conditions

             Privacy Notice   Terms of Use