Application Note: Nanoindentation at the Elastic Response Limit: Revealing Elastic Microstructures in a Monolithic Glass

Learn how to correct for curvature-induced effects on the indentation modulus

Using an equivalent radius to correct for curvature-induced effects on indentation modulus of a monolithic metallic glass

The high sensitivity of nanoindentation and atomic force microscopy allows for the assessment of subtle displacements down to the sub-nanometer regime, enabling non-destructive testing of mechanical properties (such as mechanical moduli) at the elastic response limit. For the small indentation depths relevant in most nanomechanical testing scenarios, the Hertzian model assumption of a flat sample plane for the tip-sample interaction is not applicable, leading to inaccurate modulus amplitude calculations if surface roughness is ignored during the analysis.

This application note addresses the real-life situation of non-flat surface conditions in a monolithic metallic glass¹ and how to correct for curvature-induced effects on the indentation modulus by using an equivalent radius. In doing so, an elastic microstructure is revealed in the metallic glass despite the existence of only a single amorphous phase, demonstrating the ability of nanoindentation and atomic force microscopy to access materials properties that remain hidden to other methods.


Readers can expect to:

  • See results for AFM imaging and nanomechanical testing of a monolithic glass
  • Learn equations for calculating equivalent radius to correct for surface roughness during nanoindentation
  • Understand how equivalent radius and radius of curvature relate to the interplay between surface curvature and probe tip

KEYWORDS: Nanoindentation; Atomic Force Microscopy; TriboIndenter; Nanomechanical Test System; Accelerated Property Mapping (XPM); Elastic Response Limit; Monolithic Metallic Glass; Federal Institute of Materials Research and Testing (BAM)

Mechanical Mapping

Spatially resolved nanomechanical measurements were conducted using a Hysitron TI 980 TriboIndenter® with a cono-spherical tip of 890 nm. A well-polished surface of a bulk metallic glass was characterized using accelerated property mapping (XPM™)² over a lateral range of 2.5 µm × 2.5 µm by probing mechanical modulus (Figure 1b) and topography (Figure 1c). Representative curves of local load-displacement (measured at 50 nm indentation distance) are displayed in Figure 1a.

Figure 1. (a) Representative examples of load-displacement curves measured on a bulk metallic glass surface within the elastic response limit. (b) Mechanical modulus deduced from curves in (a) by the Oliver-Pharr method. (c) Topography measured for the same region on the sample surface as shown in (b). (d) Mechanical modulus for the corresponding area after correcting for topography-induced effects.

Topography Correction

Although height variations over the width of a single indent may only be in the single nanometer regime, the indentation depth is of the same order of magnitude, resulting in a distinct correlation between modulus and topography.¹,³ To account for such curvature-induced effects on the elastic modulus, an equivalent radius is determined for each point of the mapped area.4 Hence, the local curvature of the measured surface is considered as the inverse of the pair of independent local surface radii, i.e., radii of curvature, (RXS, RSY). Together with the tip radius, Rtip, these are the basis for determining the equivalent radius, Req = √(Rx Ry) by 1/Rx,y =1/(Rx,yS )+ 1/Rtip, resulting in Equation 1.

The independent equivalent radii, (Rx,Ry), behave as visualized in Figure 2. They are smaller than the tip radius if the local surface curvature is positive (e.g., at a local maximum on the surface), equal to the tip radius if the curvature is zero (where the sample surface is flat, i.e., with constant slope), and larger than the tip radius if the curvature is negative. As a special case, the equivalent radii approach infinity towards curvatures of -1/Rtip. Here, surface dips with curvatures below that limit lead to multiple contacts between tip and sample surface, effectively resulting in measured curvatures equal to -1/Rtip that do not reflect the true curvature (<-1/Rtip) of the surface.

Figure 2. Equivalent radius and radius of curvature as a function of curvature with schematic representations of the interplay between surface curvature and tip.

Results

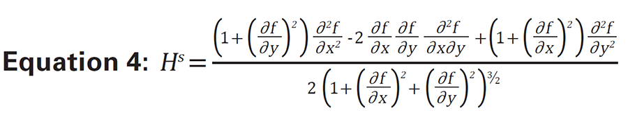
To determine the equivalent radius from measured topography data, the independent radii of curvature, (Rxs, Rys) are related to the Gaussian and mean curvature, Ks and Hs.1,4

These are defined by first and second derivatives of the surface topography and can be assessed by a point-wise analysis of the data.

Based on the equivalent radius, the corrected elastic modulus, Ec , is calculated from the measured modulus, Er, and the tip radius, by assuming Hertzian contact mechanics via Ec = (√Rtip/√Req) * Er, as plotted in Figure 1d.

Conclusions

High-throughput, spatially resolved nanoindentation can reveal nanoelastic fluctuations in single-phase solids, as demonstrated here for a monolithic glass. Such high-resolution measurements are very sensitive to long-wavelength topography modulations with amplitudes of only a few nanometers. A method described in References 1 and 4 yields a significant reduction of the influence of topography-related effects on the elastic modulus. Scenarios connected to imaginary solutions for the equivalent radius are avoided when using the same tip for topography and modulus measurements. Diverging values of the equivalent radius are expected at sites where the radii of curvature approach the negative tip radius.

 

Acknowledgements

Data courtesy of B. Riechers, R. Rashidi, and R. Maass, BAM, Berlin, Germany.

Authors

  • Dr. Birte Riechers, Federal Institute of Materials Research and Testing (BAM), Germany
  • Prof. Dr. Robert Maass, Federal Institute of Materials Research and Testing (BAM), Germany
  • Dr. Douglas Stauffer, Bruker (douglas.stauffer@bruker.com)

References

  1. Riechers et al., Materials & Design 229, 111929 (2023).
  2. Hintsala et al., JOM 70, 494-503 (2018).
  3. Tsai et al., Acta Materialia 139, 11-20 (2017).
  4. Campbell et al., International Journal of Mechanical Sciences 161, 105015 (2019).

©2024 Bruker Corporation. All rights reserved. Hysitron, TriboIndenter, and XPM are trademarks of Bruker Corporation. All other trademarks are the property of their respective companies. AN1547, Rev. A0.

Free Instant Download

Download the Full-Length PDF

Input value is invalid.

Get instant access to the full-length PDF

Please enter your first name
Please enter your last name
Please enter your e-mail address
Please enter a valid phone number
Please enter your Company/Institution
What best describes your current interest?
Please add me to your email subscription list so I can receive webinar invitations, product announcements and events near me.
Please accept the Terms and Conditions

             Privacy Notice   Terms of Use


  * Please fill out the mandatory fields.

Your download is now available.


Note:
If you exit this page, you may not be able to reopen this download window without re-submitting the form.